为进一步筑牢疫情防控堡垒,保障全区人民生命安全和身体健康,根据疫情防控工作需要,鄠邑区决定于3月14日在全区范围再次组织开展大规模核酸筛查,现就有关工作通告如下:
一、采样时间
采样时间为3月14日早6时至中午12时。
二、检测对象
检测对象为全区所有居民(含常住人口和流动人口)。
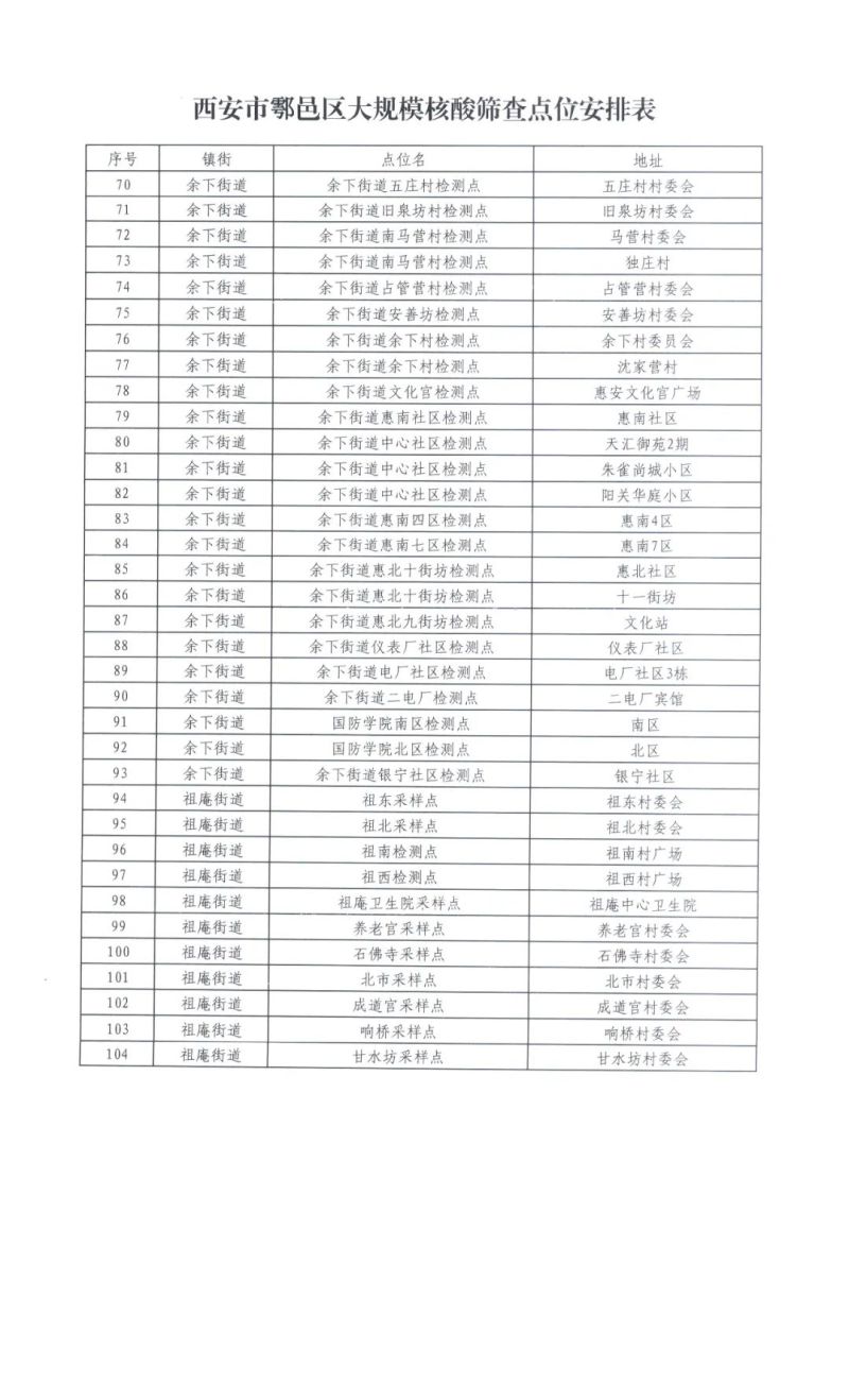
三、检测点位(见附件)
四、工作要求
(一)请广大居民主动服从工作人员组织安排,积极配合做好样本采集工作。对拒不配合、不支持核酸检测工作、扰乱秩序、瞒报、谎报、伪造信息的人员,将依法追究相应法律责任。
(二)请本人携带手机、身份证或户口本,外籍人员请携带身份证明等有效证件,有序前往指定采样点进行采样。
(三)请广大居民主动做好个人防护,核酸采样期间全程佩戴口罩,有序排队,保持一米以上距离,不扎堆、不聚集。
(四)48小时内接种新冠病毒疫苗人员不得采样。采样前若有发热、咳嗽等十大症状的,应及时前往就近的定点医院发热门诊就诊。
(五)全员核酸检测期间,鄠邑区将停止新冠病毒疫苗接种工作。
(六)3月14日仍将对已检测人员发放“已检测标识贴”,对于无标识贴者,将限制乘坐公共交通,出入小区、公司(单位)及商超等公共区域。
(七)区内各高校、中小学校幼儿园、沣京工业园下午2点开始,5点结束。请提前做好准备,确保顺利开展、应检尽检。
西安市鄠邑区疫情防控指挥部办公室
2022年3月13日









陕公网安备 61012502000149号